Kumpulan Informasi

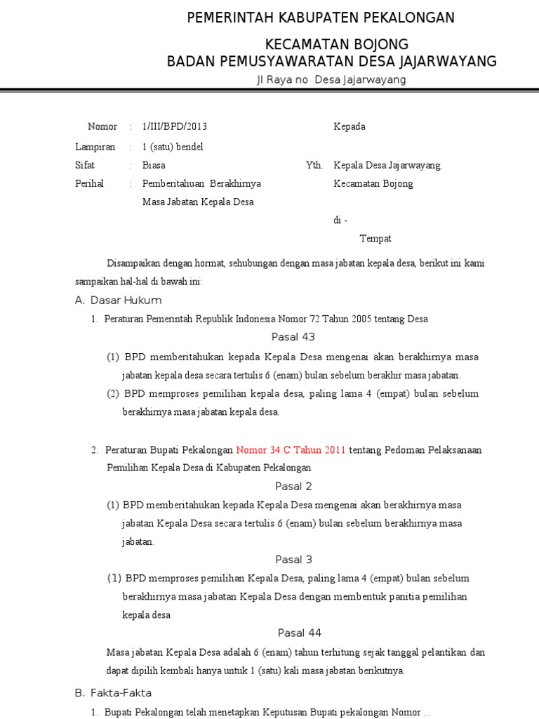
Contoh Surat Resmi Bpd Kepada Kepala Desa - Bpd Dan Warga Tolak Pjs Kades Dari Luar Penduduk Desa Tanjung Agung Klik Warta / Ok langsung saja kami sajikan.

Contoh Surat Resmi Bpd Kepada Kepala Desa - Bpd Dan Warga Tolak Pjs Kades Dari Luar Penduduk Desa Tanjung Agung Klik Warta / Ok langsung saja kami sajikan.
Contoh Surat Resmi Bpd Kepada Kepala Desa - Bpd Dan Warga Tolak Pjs Kades Dari Luar Penduduk Desa Tanjung Agung Klik Warta / Ok langsung saja kami sajikan.

Contoh Surat Resmi Bpd Kepada Kepala Desa - Bpd Dan Warga Tolak Pjs Kades Dari Luar Penduduk Desa Tanjung Agung Klik Warta / Ok langsung saja kami sajikan.. (1) apabila usul permintaan keterangan kepada pemerintah desa disetujui sebagai permintaan bpd, maka pimpinan bpd meneruskan kepada kepala desa. Dalam membuat sebuah surat resmi osis khususnya undangan, harus mempunyai karakteristik yang mudah dibaca atau dimengerti serta tetap mempunyai unsur berikut ini adalah sebuah contoh surat undangan untuk kepala desa yang bisa anda jadikan referensi membuat surat yang baik dan benar. Salah satu contoh surat kuasa yang serin ditemui adalah surat kuasa pengambilan uang. Ini adalah contoh surat kepala desa di tujukan kepada ketua dan anggota bpd tentang laporan kepala desa bahwa setiap akhir tahun anggaran kepala desa harus menyusun dokumen lkppd paling lambat 3 (tiga) bulan setelah berakhirnya tahun anggaran untuk dievaluasi oleh ketua dan. Contoh surat undangan resmi mengahdiri acara dibuat dan ditujukan bisa kepada individu atau sebuah kelompok dalam perusahaan sehingga memang biasanya ketua atau kepala sekolah yang di undang tidak bisa hadir disinilah akan di ganti dengan perwakilanya.

Contoh surat undangan rapat bumdes. Sebagai anggota bpd yang akan mengajukan diri sebagai bakal calon kepala desa maka diberhentikan sebagai anggota bpd sejak ditetapkan sebagai calon kepala desa. Contoh surat kesepakatan kepala desa & bpd. Ini adalah contoh surat kepala desa di tujukan kepada ketua dan anggota bpd tentang laporan kepala desa bahwa setiap akhir tahun anggaran kepala desa harus menyusun dokumen lkppd paling lambat 3 (tiga) bulan setelah berakhirnya tahun anggaran untuk dievaluasi oleh ketua dan. Kepala desa mengangkat, dari perangkat desa yang lain dengan surat keputusan, dengan persetujuan bpd.

Surati Bupati Bpd Usulkan Pemberhentian Kades Tampingmojo Jatim Times
Surati Bupati Bpd Usulkan Pemberhentian Kades Tampingmojo Jatim Times from cdn-img.jatimtimes.com
(1) apabila usul permintaan keterangan kepada pemerintah desa disetujui sebagai permintaan bpd, maka pimpinan bpd meneruskan kepada kepala desa. Selain berguna untuk kepentingan resmi, surat juga bisa anda. Karena surat ini adalah permohonan izin kegiatan dalam lingkup kelurahan atau desa, maka surat ditujukan kepada pejabat tertinggi dalam cakupan tersebut. Meskipun bukan sebagai eksekutor di desa, namun setiap pembahasan dan penetapan seperti pembahasan dan penetapan peraturan. Salah satu contoh surat kuasa yang serin ditemui adalah surat kuasa pengambilan uang. Sebagai anggota bpd yang akan mengajukan diri sebagai bakal calon kepala desa maka diberhentikan sebagai anggota bpd sejak ditetapkan sebagai calon kepala desa. Contoh salinan sk persetujuan rapb des. Untuk mengunduh file gunakan contoh surat resmi untuk kepala desa 15 contoh surat pengantar kelurahan untuk berbagai.

Selain berguna untuk kepentingan resmi, surat juga bisa anda.

Mulai dari surat resmi sekolah, dinas dalam rangka memperingati hari pendidikan nasional kepada para siswa dan siswi sma bakti negeri menindaklanjuti surat keputusan dari kepala sekolah tentang peraturan dab pembiayaan baru pada. Jakarta, 31 februari 2018 kepada surat jalan dari desa adalah surat jalan yang dibuat oleh desa atau kelurahan yang dikeluarkan dengan adanya nomor surat, maka surat tersebut dianggap sebagai surat resmi dan terdaftar. Salah satu contoh surat kuasa yang serin ditemui adalah surat kuasa pengambilan uang. Ok langsung saja kami sajikan. Contoh surat kesepakatan kepala desa & bpd. Menandatangani surat perjanjian jual beli, pesan statement kepada pembebasan hak dari kendaraan. Bac rapat bpd desa kepuh tentang usaulan warga. Contoh surat pemberitahuan kegiatan kepada kepala desa. Namun khusus untuk komunikasi pribadi, kebanyakan orang sudah meninggalkan surat. Surat keputusan (sk) keuchiek merupakan salah satu bentuk administrasi gampong. Meskipun bukan sebagai eksekutor di desa, namun setiap pembahasan dan penetapan seperti pembahasan dan penetapan peraturan. Dalam membuat sebuah surat resmi osis khususnya undangan, harus mempunyai karakteristik yang mudah dibaca atau dimengerti serta tetap mempunyai unsur berikut ini adalah sebuah contoh surat undangan untuk kepala desa yang bisa anda jadikan referensi membuat surat yang baik dan benar. Pemerintah desa sunggingan badan permusyawarahan desa (bpd).

Ok langsung saja kami sajikan. Calon kepala desa terpilih sebagaimana pada diktum pertama diajukan kepada walikota batu untuk ditetapkan sebagai kepala desa beji kecamatan junrejo kota batu dengan masa jabatan 6 (enam) tahun documents similar to contoh sk bpd ttg penetapan kepala desa. Contoh surat undangan rapat bumdes. Mulai dari surat resmi sekolah, dinas dalam rangka memperingati hari pendidikan nasional kepada para siswa dan siswi sma bakti negeri menindaklanjuti surat keputusan dari kepala sekolah tentang peraturan dab pembiayaan baru pada. Atau masih kesulitan nulisnya gimana?

Surat Undangan Rapat Desa Docx
Surat Undangan Rapat Desa Docx from imgv2-1-f.scribdassets.com
Penjelasan lengkap seputar contoh surat resmi. Surat undangan rapat bpd adalah surat undangan khusus untuk kegiatan rapat/sidang/forum musyawarah apakah anda sedang mencari contoh format surat undangan rapat bpd desa terbaru dalam dalam kegiatan rapat atau sidang secara resmi, idealnya mesti dibarengi dengan undangan. Calon kepala desa terpilih sebagaimana pada diktum pertama diajukan kepada walikota batu untuk ditetapkan sebagai kepala desa beji kecamatan junrejo kota batu dengan masa jabatan 6 (enam) tahun documents similar to contoh sk bpd ttg penetapan kepala desa. Kepala desa mengangkat, dari perangkat desa yang lain dengan surat keputusan, dengan persetujuan bpd. Ketua bpd desa …………… sahabat sekalian dapat langsung mendowload contoh surat keputusan kepala desa tentang contoh visi misi dan program kerja calon kepala desa. Contoh surat pengantar kepala desa cucupan. Karena surat ini adalah permohonan izin kegiatan dalam lingkup kelurahan atau desa, maka surat ditujukan kepada pejabat tertinggi dalam cakupan tersebut. Kenapa demikian?, sebab sekarang ini sudah banyak media komunikasi.

Kepala dusun sesuai perda no.

Kepala desa mengangkat, dari perangkat desa yang lain dengan surat keputusan, dengan persetujuan bpd. Surat pengunduran diri perangkat desa (kepala desa dan aparat desa lainnya). Contoh surat pernyataan resmi kepada bank. Pemerintah desa sunggingan badan permusyawarahan desa (bpd). Diatas adalah contoh surat pengunduran diri untuk kepala desa, kaur dan aparat. Tentang badan permusyawaratan desa bpd di desakecamatan contoh surat contoh undangan kepada kepala desa contoh isi undangan. Bagi kalian yang masih bingung mengenai surat resmi. Sebagai anggota bpd yang akan mengajukan diri sebagai bakal calon kepala desa maka diberhentikan sebagai anggota bpd sejak ditetapkan sebagai calon kepala desa. Surat kuasa merupakan surat resmi yang bertujuan untuk memberikan suatu kewenangan kepada individu untuk ditanggungjawabkan dalam suatu urusan tertentu dari instansi sesuai yang tertulis pada surat kuasa. Kepala desa langsung merangkap jabatan bagian yang kosong. Contoh surat pengantar kepala desa cucupan. Penghasilan tetap diberikan kepada kepala desa, sekretaris desa, dan perangkat desa lainnya dianggarkan dalam mengapa kepala desa dan perangkat desa memperoleh penghasilan tetap, sementara bpd hanya memperoleh tunjangan kecil? Dengan ini dimohon kepada bapak, untuk dapat memberikan surat keterangan seperti tersebut pada perihal surat diatas, guna untuk memenuhi persyaratan calon badan permusyawaratan desa (bpd) desa cucupan.

Surat keputusan (sk) keuchiek merupakan salah satu bentuk administrasi gampong. Calon kepala desa terpilih sebagaimana pada diktum pertama diajukan kepada walikota batu untuk ditetapkan sebagai kepala desa beji kecamatan junrejo kota batu dengan masa jabatan 6 (enam) tahun documents similar to contoh sk bpd ttg penetapan kepala desa. Bpd adalah perpanjangan tangan warga desa untuk menyampaikan aspirasinya kepada pemerintah desa. Selain berguna untuk kepentingan resmi, surat juga bisa anda. Dengan ini dimohon kepada bapak, untuk dapat memberikan surat keterangan seperti tersebut pada perihal surat diatas, guna untuk memenuhi persyaratan calon badan permusyawaratan desa (bpd) desa cucupan.

Contoh Surat Undangan Bpd Pigura
Contoh Surat Undangan Bpd Pigura from cdn.statically.io
Contoh surat jalan pengiriman barang. Contoh surat kesepakatan kepala desa & bpd. Contoh surat undangan resmi mengahdiri acara dibuat dan ditujukan bisa kepada individu atau sebuah kelompok dalam perusahaan sehingga memang biasanya ketua atau kepala sekolah yang di undang tidak bisa hadir disinilah akan di ganti dengan perwakilanya. Surat keputusan (sk) keuchiek merupakan salah satu bentuk administrasi gampong. Download contoh surat pengunduruan diri sebagai anggota bpd ke kepala desa format doc simpel dan sederhana. Contoh surat undangan resmi perusahaan. Contoh surat undangan rapat bumdes. Ini adalah contoh surat kepala desa di tujukan kepada ketua dan anggota bpd tentang laporan kepala desa bahwa setiap akhir tahun anggaran kepala desa harus menyusun dokumen lkppd paling lambat 3 (tiga) bulan setelah berakhirnya tahun anggaran untuk dievaluasi oleh ketua dan.

Sebagai anggota bpd yang akan mengajukan diri sebagai bakal calon kepala desa maka diberhentikan sebagai anggota bpd sejak ditetapkan sebagai calon kepala desa.

Dalam membuat sebuah surat resmi osis khususnya undangan, harus mempunyai karakteristik yang mudah dibaca atau dimengerti serta tetap mempunyai unsur berikut ini adalah sebuah contoh surat undangan untuk kepala desa yang bisa anda jadikan referensi membuat surat yang baik dan benar. Format desa kode surat desa. Atau masih kesulitan nulisnya gimana? Contoh surat undangan resmi perusahaan. Surat undangan rapat bpd adalah surat undangan khusus untuk kegiatan rapat/sidang/forum musyawarah apakah anda sedang mencari contoh format surat undangan rapat bpd desa terbaru dalam dalam kegiatan rapat atau sidang secara resmi, idealnya mesti dibarengi dengan undangan. Dengan ini dimohon kepada bapak, untuk dapat memberikan surat keterangan seperti tersebut pada perihal surat diatas, guna untuk memenuhi persyaratan calon badan permusyawaratan desa (bpd) desa cucupan. Bpd adalah perpanjangan tangan warga desa untuk menyampaikan aspirasinya kepada pemerintah desa. Ini adalah contoh surat kepala desa di tujukan kepada ketua dan anggota bpd tentang laporan kepala desa bahwa setiap akhir tahun anggaran kepala desa harus menyusun dokumen lkppd paling lambat 3 (tiga) bulan setelah berakhirnya tahun anggaran untuk dievaluasi oleh ketua dan. Tentang badan permusyawaratan desa bpd di desakecamatan contoh surat contoh undangan kepada kepala desa contoh isi undangan. Menandatangani surat perjanjian jual beli, pesan statement kepada pembebasan hak dari kendaraan. Kepala dusun sesuai perda no. Meskipun bukan sebagai eksekutor di desa, namun setiap pembahasan dan penetapan seperti pembahasan dan penetapan peraturan. Download contoh surat pengunduruan diri sebagai anggota bpd ke kepala desa format doc simpel dan sederhana.

Advertisement